Yüksek kaliteli betadex sülfobutil eter sodyum (SBE-p-cd)-farma sınıfı siklodekstrin expipian-CAS 182410-00-0. Çözünürlüğü, stabiliteyi ve biyoyararlanımı artırır.
	 
 
	
Betadex Sülfobutil Ether Sodyum (SBE-y-CD)-Pharma Sınıfı Siklodekstrin Expipient-CAS 182410-00-0
	
Görünüm: Beyaz Toz, Tatlı, Tessiz ve Zahi olmayan
	
Raf ömrü: 36 ay
	
Sınıf: enjeksiyon sınıfı
	
Uygulama: Pharmaceuticals Feild
	
Standart: USP, EP
	
Çözünürlük: ≥100 (25 ℃, g/100ml)
	
Heavy Metal: ≤0.0025%
	
Şekerleri Azaltan: ≤0.05
	
	
Sülfobutileter-p-siklodekstrin farmasötik eksipiyan sadece ilaç çözünürlüğünü arttırmak, ilacın stabilitesini ve güvenliğini artırmakla kalmaz, uygulama enjeksiyon bölgesine stimülasyonu azaltabilir, ilaç hızlı bir şekilde gerekli kan konsantrasyonuna ulaşır, ilaç etkisinin süresini uzatır.
	
Hızlı absorpsiyon, hızlı etkili, yüksek biyoyararlanım, uygun uygulama, hastalar tarafından kabul edilmesi kolay ve karaciğer ilk geçiş etkisini ve diğer avantajlardan kaçınabilir, farmasötik araştırmalarda sıcak noktalardan biri haline gelmiştir. Bununla birlikte, burun ilaçlarının düşük penetrasyonu nedeniyle, burun boşluğundaki birçok enzim bozulmaya ve burun yapışmasına neden olabilir.
	
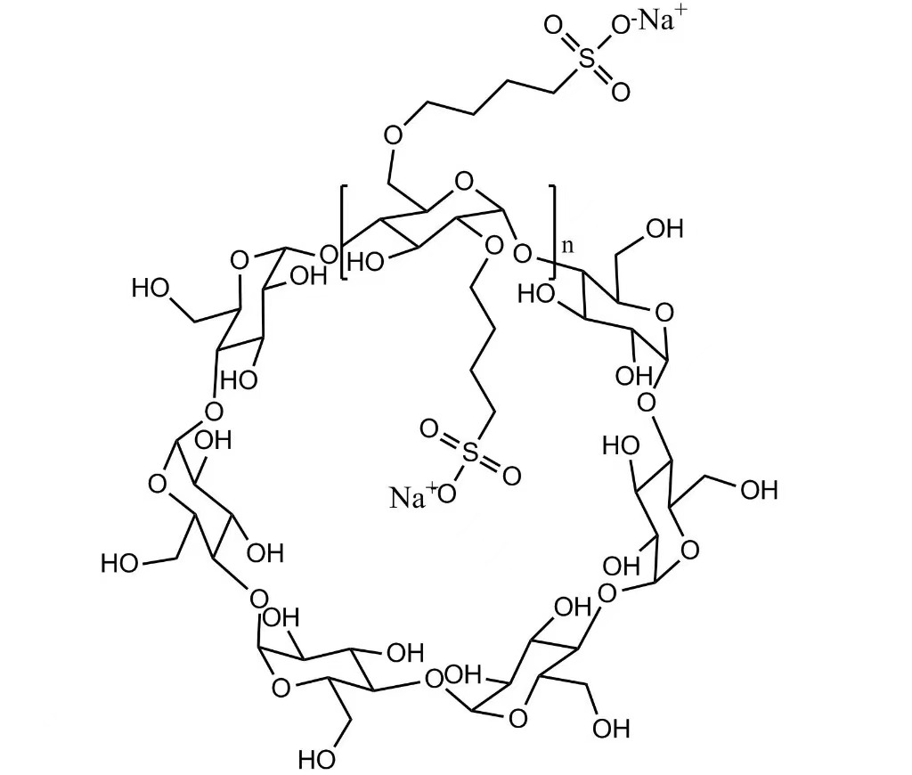
Sülfobutileter-p-siklodekstrin farmasötik eksipiyan, Betadex'in 1,4-butanesülfonik asit laktonu tarafından alkalin koşulları altında alkillendiğinde üretilen bir sodyum tuzudur. Bir anyon, oldukça suda çözünür Betadex türevidir. Sülfobutileter-p-siklodekstrin farmasötik eksipiyan, kovalent olmayan oluşturmak için ilaç molekülleri ile iyi birleştirilebilir, böylece ilacın stabilitesini, suda çözünürlüğünü ve güvenliğini arttırır, böbrek toksisitesini azaltır, ilaç hemolizi hafifletir, ilaç salınım hızını kontrol eder, ilaç salma oranını kontrol eder, ilaç salma hızı, kötü koku örtme, kötü koku örtme vb.
	
	
	 
 
	
Xi'an Deli Biochemical Industry Co., Ltd. Araştırma ve geliştirme, siklodekstrin üretimi ve satışları ve türevleri konusunda uzmanlaşmış yüksek teknolojili bir girişimdir.
27 Ağustos 1999'daki kuruluşundan bu yana şirket, "aksesuarlara, önce kalite, samimi hizmet, birinci sınıf için çabalama" üzerine odaklanma kalite politikasına bağlı. 20 yıldan fazla süren sıkı çalışma ve geliştirmeden sonra, şirket şu anda ürün Deli markası hidroksipropil Betadex, Deli markası Betadex sulfobutil eter sodyumuna sahiptir. Yukarıdaki ürünler FDA'ya kaydedildi ve dosyalandı.
	
	