Endüstri Haberleri

Çözünürlük ve Stabilitenin Artırılması için Siklodekstrin Bazlı Çözümler

2025-12-23 - bana mesaj bırak

Çözünürlük ve Stabilitenin Artırılması için Siklodekstrin Bazlı Çözümler

Hidroksipropil Betadex ve Betadex Sülfobütil Eter Sodyuma Teknik Genel Bakış

Siklodekstrinler, az çözünen veya kimyasal olarak hassas bileşiklerin çözünürlüğünü ve stabilitesini geliştirme yetenekleri nedeniyle yaygın olarak tanınmaktadır. Siklodekstrinler ve türevleri, benzersiz siklik moleküler yapıları nedeniyle farmasötik, kimyasal ve ilgili formülasyon alanlarında önemli fonksiyonel yardımcı maddeler haline gelmiştir. Artan teknik ve düzenleyici gereksinimlere yanıt olarak Xi'an Deli Biochemical, temel siklodekstrin türevleri için teknik belgeleri ve ürün desteğini daha da geliştirdi:hidroksipropil betadeks (HPBCD) ve betadeks sülfobütil eter sodyum (SBECD).


Siklodekstrinlerin Yapısal Özellikleri ve Fonksiyonel Performansı

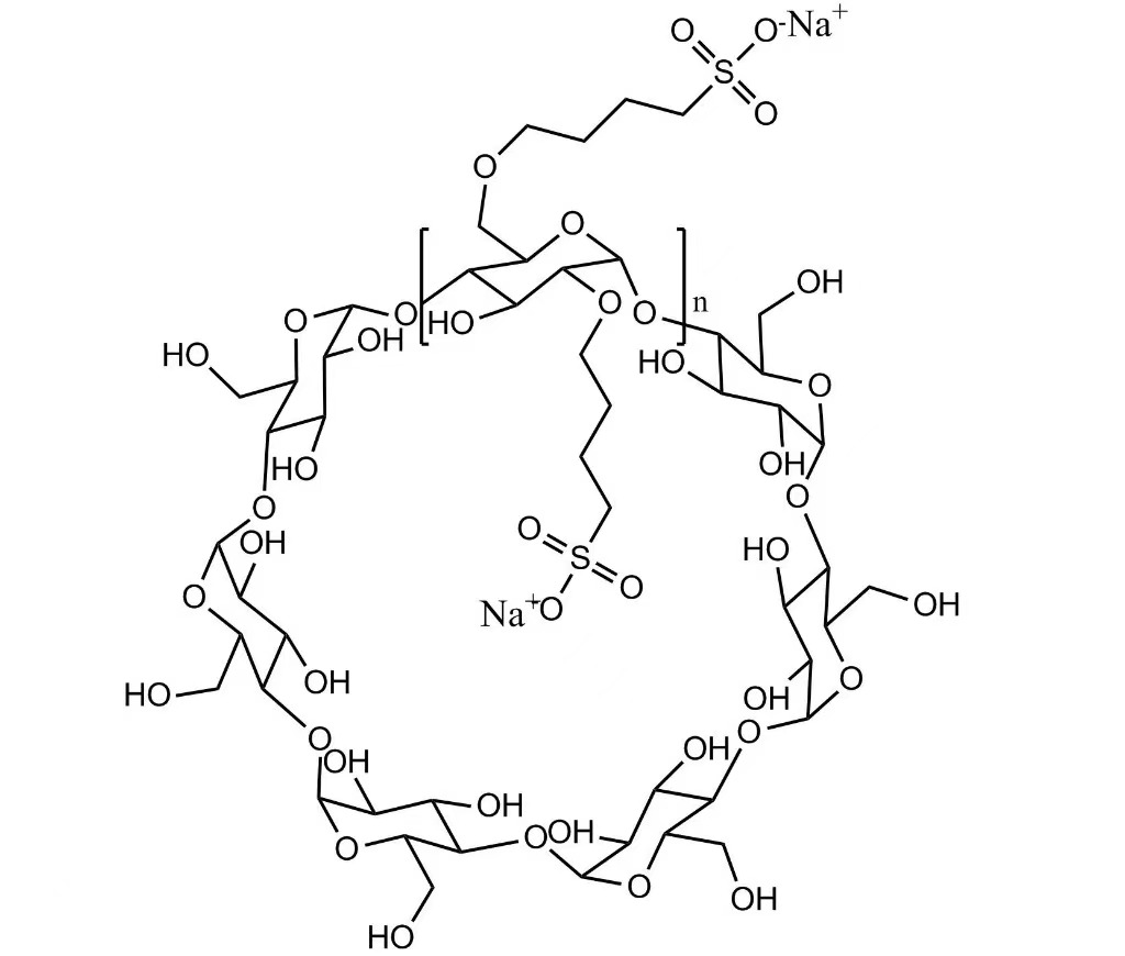
Siklodekstrinler, a-1,4 glikosidik bağlarla bağlanan glikoz birimlerinden oluşan siklik oligosakaritlerdir. Moleküler mimarileri hidrofilik bir dış yüzeye ve nispeten hidrofobik bir iç boşluğa sahip olup, çok çeşitli konuk moleküllerle inklüzyon komplekslerinin oluşumunu mümkün kılar. Siklodekstrin yapısının kimyasal modifikasyonu, sulu çözünürlüğü önemli ölçüde artırabilir ve uygulama çok yönlülüğünü genişletebilir.


Hidroksipropil Betadeks (HPBCD)


Hidroksipropil betadeks, doğal siklodekstrinlerin sınırlı çözünürlüğünün üstesinden gelmek üzere tasarlanmış, kimyasal olarak değiştirilmiş bir β-siklodekstrindir. Suda geliştirilmiş çözünürlüğü ve olumlu uyumluluğu, HPBCD'yi çeşitli sistemlerde etkili çözündürme, stabilizasyon ve formülasyon esnekliği gerektiren uygulamalar için uygun hale getirir.


Betadex Sülfobütil Eter Sodyum (SBECD)


Betadex sülfobütil eter sodyum, sülfobütil eter ikame edicileri ile karakterize edilen bir anyonik siklodekstrin türevidir. Bu yapı, belirli bileşiklerle elektrostatik etkileşimleri geliştirerek daha zorlu uygulamalarda gelişmiş çözünürlüğü, karmaşık stabiliteyi ve formülasyon sağlamlığını destekler.

Standartlaştırılmış Ürün Bilgileri ve Teknik Destek

Xi'an Deli Biochemical, formülasyon geliştirme, kalite değerlendirme ve satın alma süreçlerini daha iyi desteklemek amacıyla HPBCD ve SBECD için aşağıdakiler dahil olmak üzere ürün bilgilerini sistematik olarak güncelledi:


  • Açıkça tanımlanmış ve standartlaştırılmış ürün özellikleri ve analitik parametreler
  • İzlenebilirliği ve kalite doğrulamayı sağlamak için partiye özel Analiz Sertifikaları (COA)
  • Kullanım, depolama ve tipik uygulama hususlarını ele alan genişletilmiş teknik SSS'ler
  • Verimli teknik inceleme ve seçimi kolaylaştırmak için tasarlanmış optimize edilmiş ürün özetleri


Bu iyileştirmelerin amacı şeffaflığı artırmak, değerlendirme sürelerini kısaltmak ve tedarik döngüsü boyunca tutarlı ürün performansını desteklemektir.


Üretim Deneyimi ve Kalite Güvencesi

1999 yılında kurulan Xi'an Deli Biochemical, siklodekstrin türevlerinin üretiminde 26 yıllık deneyime sahiptir. Şirket, hidroksipropil betadeks ve betadeks sülfobutil eter sodyumun kontrollü üretimine odaklanarak süreç tutarlılığını, partiden partiye güvenilirliği ve uzun vadeli tedarik istikrarını vurguluyor. Yapılandırılmış kalite yönetimi uygulamaları müşterilerin teknik, düzenleyici ve kaynak bulma gereksinimlerini destekler.


Uygulama Kapsamı ve Teknik İşbirliği

Siklodekstrin içerme ve stabilizasyon mekanizmalarına dayanan HPBCD ve SBECD, farmasötikle ilgili formülasyonlar, özel kimyasallar, veterinerlik ürünleri ve gelişmiş çözünürlük ve stabilite gerektiren diğer sistemler dahil olmak üzere birçok teknik alanda uygulanabilir. Xi'an Deli Biochemical, gelişen formülasyon ihtiyaçlarını desteklemek için uygulama odaklı iletişim ve teknik işbirliği yoluyla ortaklarla iletişim kurmaya devam ediyor.


Xi'an Deli Biyokimya Endüstrisi Şirketleri Hakkında

1999 yılında kurulan Xi'an Deli Biyokimya Endüstrisi Şirketleri, küresel müşterilere hidroksipropil betadeks (HPBCD) ve betadeks sülfobütil eter sodyum (SBECD) tedarik eden, siklodekstrin türevlerinin uzmanlaşmış bir üreticisidir. Uzun süredir ürün tutarlılığı, net spesifikasyonlar ve pratik teknik desteğe odaklanan şirket, güvenilir siklodekstrin bazlı çözümler sunmaya kararlıdır.


İsterseniz şunları da yapabilirim:


  • Bunu Google SEO için daha da optimize edin (teknik tonu azaltmadan)
  • Bunu bir ürün sayfası “Teknik Güncelleme” sürümüne yoğunlaştırın
  • Mevzuat/kalite odaklı müşteriler için uyarlayın


Sadece bana onu nerede yayınlamayı planladığını söyle.


Talep Gönder


icon
X
Size daha iyi bir gezinme deneyimi sunmak, site trafiğini analiz etmek ve içeriği kişiselleştirmek için çerezleri kullanıyoruz. Bu siteyi kullanarak çerez kullanımımızı kabul etmiş olursunuz. Gizlilik Politikası
Reddetmek Kabul etmek