Sülfobutileter Beta Siklodekstrin Sodyum Tozu
IMG
VIDEO

Sülfobutileter Beta Siklodekstrin Sodyum Tozu

Sülfobutileter Beta Siklodekstrin Sodyum Tozu
CAS Numarası: 182410-00-0
Görünüm: Beyazdan kirli beyaza kadar amorf toz
Sınıf: Enjeksiyon sınıfı / Farmasötik yardımcı madde
Analiz: ≥ %99,0 (susuz bazda)
Çözünürlük: Suda serbestçe çözünür
Bakteriyel Endotoksinler: ≤ 10 EU/g
Yönetici Standardı: USP / EP / ChP

Talep Gönder

Ürün Açıklaması


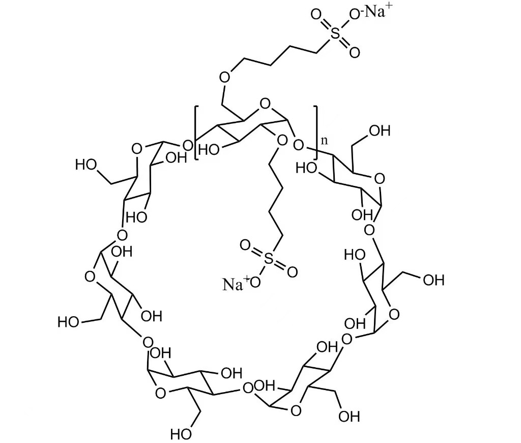
Sülfobutileter Beta Siklodekstrin Sodyum Tozu Nedir?


Sülfobutileter Beta Siklodekstrin Sodyum Tozu, farmasötik bir yardımcı madde olarak kullanılan, suda oldukça çözünür, anyonik bir β-siklodekstrin türevidir. Beta siklodekstrinin kontrollü alkali koşullar altında sülfobütil eter grupları ile kimyasal olarak modifiye edilmesiyle üretilir ve mükemmel çözündürme özelliklerine sahip bir sodyum tuzu elde edilir.

Bu enjekte edilebilir dereceli yardımcı madde, zayıf çözünen aktif farmasötik bileşenler (API'ler) ile stabil, kovalent olmayan inklüzyon kompleksleri oluşturmak üzere tasarlanmıştır. İlaç moleküllerini kapsülleyerek, Sulfobutilether Beta Siklodekstrin Sodyum Tozu, lokal tahrişi, hemolizi ve böbrek toksisitesini azaltırken ilacın çözünürlüğünü, stabilitesini ve biyoyararlanımını önemli ölçüde artırır.

Yüksek güvenlik profili ve güçlü kompleks oluşturma kabiliyeti nedeniyle Sulfobutilether Beta Siklodekstrin Sodyum Tozu, özellikle antifungal, antiviral, onkoloji ve kardiyovasküler enjekte edilebilir ilaçlar için parenteral farmasötik formülasyonlarda yaygın olarak kullanılmaktadır. USP ve EP gibi önemli farmakope standartlarına uygundur ve klinik ve ticari farmasötik uygulamalar için uygundur.


Sülfobutileter Beta Siklodekstrin Sodyum Tozu Spesifikasyonu


Ürün yokBen
Sülfobutileter Beta Siklodekstrin Sodyum
CAS No.
182410-00-0
Dış görünüş Beyaz veya hemen hemen beyaz, higroskopik toz.
Yönetici Standardı USP / EP / ChP
Ambalajlama 500 g/torba; 1 kg/torba; 10 kg/torba; 10 kg/varil
Eş anlamlılar SBE-β-CD; Sülfobütil Eter Beta-Siklodekstrin; Betadex Sülfobütil Eter Sodyum
TEST ≥99%
Bakteriyel Endotoksinler
≤10AB/g
Adedi 1 kg


Sülfobutileter Beta Siklodekstrin Sodyum Tozu COA


Sulfobutyl Ether Beta Cyclodextrin'in (SBECD) kullanımı ve faydaları nelerdir?

1. Sülfobütil Eter Beta Siklodekstrin (SBECD) Kullanım Alanları

Sülfobütil Eter Beta Siklodekstrin (SBECD), özellikle aşağıdaki alanlarda farmasötik bir yardımcı madde olarak kullanılır:


  • Enjekte edilebilir (parenteral) ilaç formülasyonları
  • Oftalmik (göz) preparatlar
  • Nazal ve pulmoner ilaç dağıtım sistemleri
  • Antifungal, antiviral, antikanser ve kardiyovasküler ilaçlar gibi suda çözünürlüğü zayıf API'lerin formülasyonları


2. Sülfobutil Eter Beta Siklodekstrinin (SBECD) Faydaları


  • Az çözünen ilaçların suda çözünürlüğünü önemli ölçüde artırır
  • Kovalent olmayan inklüzyon kompleksleri oluşturarak ilaç stabilitesini arttırır
  • Özellikle enjekte edilebilir formülasyonlar için ilaç güvenliğini artırır
  • Bazı geleneksel çözücülerle karşılaştırıldığında böbrek toksisitesini azaltır
  • Hemolizi ve enjeksiyon bölgesi tahrişini en aza indirir
  • İlaç salım hızını kontrol ederek terapötik performansı artırır
  • API'lerin hoş olmayan kokusunu veya tadını maskeler
  • Suda yüksek çözünürlük ve düşük toksisite, parenteral kullanıma uygun

Neden Bizi Seçmelisiniz?


20 Yılı Aşkın Üretim Deneyimi

Siklodekstrin ve siklodekstrin türevi üretiminde yirmi yılı aşkın özel deneyime sahip olan Xi'an Deli Biochemical Industry Co., Ltd., ürün kalitesi, süreç istikrarı ve güvenilir tedarik konusunda sağlam bir itibar kazanmıştır.


Büyük Ölçekli ve İstikrarlı Üretim Kapasitesi

Yıllık 500 ton Hidroksipropil Betadex ve 200 ton Betadex Sülfobütil Eter Sodyum kapasitesine sahip endüstriyel ölçekli üretim hatları işleterek uzun vadeli ticari ve klinik uygulamalar için istikrarlı tedarik sağlıyoruz.


Farmasötik Düzeyde Kalite Güvencesi

Ürünlerimiz sıkı bir kalite yönetim sistemi altında, farmasötik üretim gerekliliklerine göre tasarlanmış özel bir D Sınıfı temiz alanla üretilmektedir. Kapsamlı süreç içi ve nihai ürün testleri, partiden partiye mükemmel tutarlılık sağlar.


Gelişmiş Analitik ve Test Yetenekleri

HPLC, GC, IC, kapiler elektroforez, FTIR ve NMR destekli testler gibi modern analitik cihazlarla donatılmış laboratuvarımız, USP, EP ve ChP'nin farmakope gereksinimlerini karşılayarak formülasyon geliştirmeyi ve mevzuat uyumluluğunu destekleyebilir.


Mevzuat Desteği ve Küresel Pazar Deneyimi

Hidroksipropil Betadex ve Betadex Sülfobutil Eter Sodyum dahil olmak üzere temel ürünlerimiz FDA'ya tescil edilmiş ve dosyalanmış olup, küresel ilaç pazarlarında müşterilerimizi destekleme konusundaki deneyimimizi göstermektedir.


Müşteri Odaklı Teknik Destek

Erken geliştirme aşamasından uzun vadeli ticari tedarik aşamasına kadar müşterilerle yakın işbirliği içinde çalışarak profesyonel teknik destek, dokümantasyon yardımı ve formülasyonla ilgili rehberlik sağlıyoruz.


Şirketin Niteliği

Xi'an Deli Biochemical Industry Co., Ltd. Sertifikaları.

Yıllar geçtikçe, Xi'an Deli Biochemical Industry Co., Ltd., siklodekstrinler ve türevleri için sürekli olarak üretim prosesi optimizasyonuna ve kapsamlı bir kalite yönetim sisteminin kurulmasına kendini adamıştır.


SSS

1. Üretici misiniz yoksa ticaret şirketi misiniz?

Biz siklodekstrin ve siklodekstrin türevleri konusunda uzmanlaşmış profesyonel bir üreticiyiz. Tüm ürünler Çin'in Xi'an kentindeki kendi üretim tesisimizde üretilmektedir.


2. Ana ürünleriniz nelerdir?

Başlıca ürünlerimiz, özellikle enjekte edilebilir ve oral formülasyonlarda farmasötik yardımcı maddeler olarak yaygın şekilde kullanılan Hidroksipropil Betadex (HPBCD) ve Betadex Sulfobutil Eter Sodyumdur (SBECD).


3. Ürünleriniz farmakope standartlarına uygun mu?

Evet. Ürünlerimiz USP, EP ve Çin Farmakopesi gerekliliklerine uygundur. Her partiyle birlikte Tam Analiz Sertifikaları (COA) verilmektedir.


4. Enjekte edilebilir kalitede malzemeler sağlıyor musunuz?

Evet. Safsızlıklar, endotoksinler ve partiden partiye tutarlılığın sıkı kontrolü ile enjekte edilebilir dereceli siklodekstrin türevleri konusunda uzmanız.


5. Üretim kapasiteniz nedir?

Hidroksipropil Betadex: Yılda 500 metrik ton

Betadex Sülfobütil Eter Sodyum: Yılda 200 metrik ton


6. Değerlendirme için numune veriyor musunuz?

Evet. Formülasyon geliştirme ve test için talep üzerine ücretsiz numuneler mevcuttur.


7. Uzun vadeli ticari tedariki destekleyebilir misiniz?

Evet. Büyük ölçekli üretim hatları ve istikrarlı kalite sistemleriyle küresel ilaç müşterileri için uzun vadeli ve ticari ölçekli tedariği destekliyoruz.


8. Hangi kalite sistemlerini takip ediyorsunuz?

Ürün tutarlılığını ve uyumluluğunu sağlamak için gelişmiş analitik ekipmanlarla ve özel bir kalite kontrol laboratuvarıyla desteklenen ISO 9001:2015 kapsamında faaliyet gösteriyoruz.



Sıcak Etiketler: Sülfobutileter Beta Siklodekstrin Sodyum Tozu, Üreticiler, Tedarikçiler, Çin, Fabrika, toplu, Ücretsiz Örnek, Çin Malı, Stokta, Toptan, Satın Al

İlgili Kategori

Talep Gönder

Lütfen sorgunuzu aşağıdaki formda yapmaktan çekinmeyin. 24 saat içinde size cevap vereceğiz.
icon
X
Size daha iyi bir gezinme deneyimi sunmak, site trafiğini analiz etmek ve içeriği kişiselleştirmek için çerezleri kullanıyoruz. Bu siteyi kullanarak çerez kullanımımızı kabul etmiş olursunuz. Gizlilik Politikası
Reddetmek Kabul etmek